欧稳德 FR ADP

欧稳德 FR ADP

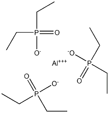
· 化学名:二乙基次膦酸铝

· CAS:225789-38-8

· 分子量:390.27 g/mol

结构式:
欧稳德 FR ADP
用途
欧稳德® FR ADP 是适用于热塑性塑料和热固性塑料的环保型阻燃剂。其磷含量 高,热稳定性好,阻燃效率高。 由于 FR ADP 的高温稳定性好,可以应用于高温尼龙,适用于玻璃纤维增强型和非 增强型。做出来的阻燃材料具有很好的物理及电气性能。
规格指标
项目标准
磷含量(%)23.00-24.00
水分(%)0.50以下
分解温度(℃)(<1.00%)300.00以上


存储、运输
25KG袋装或按照客户要求。
立即询价

如果您有问题,请填写下列表格,我们将尽快与您取得联系

申请样品

为了更好的向您提供产品和技术支持,我们需要您花1分钟的时间耐心填写如下的表格。

对于表格中的信息,我们将会予以严格保密。

收到您样品申请后,我们会在五个工作日内安排样品,谢谢您对我们的支持和信任。

*样品收费:¥100/份

+86 187 6629 9236