工程塑料耐紫外老化解决方案 -欧稳德UV1577

2022.09.01

工程塑料具有优良的综合性能,刚性大,蠕变小,机械强度高,耐热性好等,且能在较苛刻的化学、物理环境中长期使用,通常替代金属作为工程结构材料使用,被广泛应用于玻璃装配业、汽车工业和电子、电器工业中。伴随工程塑料推广和应用范围扩大,其配方中的助剂用量也大大增加。因许多助剂由于不能适应工程塑料的高加工温度而无法使用,这对助剂的选用和开发提出了更高要求。

54061109.jpg

千图网编号:54061109 

对于工程塑料耐紫外老化改性来说,紫外线吸收剂需要具备较好的耐热性和加工稳定性,且与工程塑料的相容性要好,以免在加工过程中分解、析出,影响改性效果。

欧稳德 UV1577属于一款羟基苯三嗪类紫外线吸收剂,此产品具有耐温性优良、挥发性低、色度浅且与多种聚合物相容性良好的优点。

image.png

千图网编号:42408170

欧稳德UV1577产品技术指标 

任何一种助剂的应用特点都是与其分子结构息息相关的!我们就从结构上解析下为何欧稳德 UV1577具备上述应用优势呢?

UV防护高效性

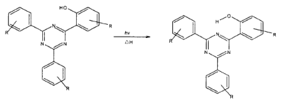
三嗪类紫外线吸收剂与二苯甲酮类和苯并三氮唑紫外线稳定剂的稳定机理相类似,分子内氢键发生破坏,形成下图所示环状互变异构体:

其分子中所含有的羟基与三嗪环上的氮原子形成的鳌合六元环具有更高的稳定性,开环所需的能量也较高。因此UV1577更在发生分子内异构化后更快速地释放能量并恢复,具有添加量低且高效的优势。

 image.png

三嗪类紫外线吸收剂作用机理

image.png

此外,欧稳德UV1577的大分子量有利于其与材料相容,可以在一定程度上解决聚合物材料在使用过程中的“泛霜”问题,及助剂在聚合物表面析出问题。

低色度

三嗪类紫外线吸收剂中α-OH基团为黄光吸收基团,故α-OH数越多,其外观颜色越黄。而UV1577结构中仅含有1个α-OH基团,使其在浅色制品中应用得以拓展。

适应高温加工环境

欧稳德UV1577具有高分子量、高熔点的特点,基本可以满足工程塑料加工的要求。

因此,同常规苯并三氮唑类紫外线吸收剂相比,欧稳德 UV1577在聚碳酸酯及聚酯材料中能发挥更卓越的UV防护效果,提升材料整体耐候性和耐久性。

欧稳德 UV1577还可广泛适用于各种高分子型复合塑料及补强型高分子材料,比如PC/ ABS, PC/PBT, PPE/IPS, PPE/PA等。

若想了解更多关于欧稳德 UV1577应用信息和产品资料,请咨询德达志成化工相关业务人员及技术团队,或访问我司官网www.deltachem.net进行查询。青岛德达志成,期待您的垂询!

+86 187 6629 9236